Сайт Информационных Технологий

ЗНАКОВОЕ ДИСКРЕТНОЕ ИЗМЕРЕНИЕ КОРРЕЛЯЦИОННЫХ ФУНКЦИЙ СЛУЧАЙНЫХ ПРОЦЕССОВ

В.Н.Якимов

Самарский государственный технический университет

Abstract - The report describes the algorithms of measurement of autocorrelation function and cross-correlation function of casual processes. These algorithms are based on stochastic sign conversion using evenly distributed auxiliary signal. The result of conversion is considered as analog-to-digital time lags conversion. The time lags are determined as intervals between successive fronts of sign signal.

Экспериментальный анализ случайных процессов во многих случаях требует измерения корреляционных и взаимных корреляционных функций. В настоящее времени разработано достаточно большое количество методов и средств корреляционных измерений. При этом широкое распространение получили цифровые методы измерения. Однако алгоритмы измерения корреляционных характеристик, разработанные на основе классических цифровых методов преобразования реализаций исследуемых случайных процессов, не всегда позволяют вести качественную оперативную обработку исходных данных. В соответствии с этим все возрастающий объем экспериментальных исследований и объективная необходимость сокращения времени их проведения требуют постоянного повышения эффективности корреляционного анализа.

Один из путей решения указанной проблемы связан с разработкой цифровых алгоритмов первичного дискретного преобразования непрерывных процессов не только позволяющих повысить скорость получения результатов измерения чисто технически за счет простого увеличения производительности обработки дискретных выборок, но и осуществляющих предварительную обработку исходной информации на стадии формирования цифровых отсчетов.

Упростить процедуры цифровой обработки случайных процессов позволяет знаковые методы измерения корреляционных зависимостей с использованием вспомогательных случайных сигналов[1,2]. При этом задача знакового преобразования сводится к воспроизведению знака реализации первичного процесса, взвешенной относительно вспомогательного сигнала на интервале времени измерения. Такое преобразование эквивалентно первичному цифровому преобразованию с ограниченным двухуровневым стохастическим квантованием.

Пусть сформированы знаковые сигналы

(1)

(2)

где Sgn{...} - оператор функции знакового преобразования; и - центрированные реализации исследуемых случайных процессов X(t) и Y(t); - вспомогательные случайные сигналы.

Вспомогательные сигналы и независимы относительно друг друга, а также по отношению к реализациям случайных процессов и .

Основную сложность при практической реализации знакового преобразования представляет генерирование вспомогательных сигналов с заданным законом распределения. Наиболее просто и реально получение вспомогательных сигналов с равномерным законом распределения. В этом случае мгновенные значения вспомогательных сигналов и будут распределены равномерно внутри интервалов от до и от до соответственно, причем величины А и В должны удовлетворять следующим условиям

и (3)

где и - абсолютные максимально возможные значения, которые могут принимать реализации и .

Оценку взаимной корреляционной функции случайных процессов X(t) и Y(t) на интервале времени усреднения Tp будем искать в следующем виде

(4)

Длительности знаковых сигналов и выберем равными соответственно Tp и 2Tp. Тогда величина задержки t может изменяться в пределах от нуля до Tp.

Результат знакового преобразования можно рассматривать как поток фронтов прямоугольных импульсов со случайной флуктуацией интервалов их длительности. Данному потоку фронтов будет свойственна зависимость их временного положения от совпадения по уровню мгновенных значений реализации исследуемого случайного процесса и вспомогательного случайного сигнала [3]. Тогда в процессе преобразований (1) и (2) достаточно знать только мгновенные значение и , а также моменты времени, в которые результаты этих преобразования меняет свой знак на противоположенный.

Пусть известны моменты времени, в которые сигналы и меняют свои знаки, то есть

- для сигнала ; (5)

- для сигнала ; (6)

(7)

Учитывая, что сигнал может принимать значения только равные “-1” или “+1”, перепишем выражение (4) следующим образом

(8)

Введем обозначения

(9)

Величины и обозначены так, чтобы показать их зависимость от k и t . Они обязательно будут целыми числами.

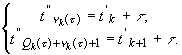
С учетом обозначений (9) сигнал на интервале времени изменяет свой знак в моменты времени

(10)

которые принадлежат множеству (6).

Принимая во внимание, что сигнал , также как и сигнал , принимает значения равные только “-1” или “+1”, после выполнения интегрирования получаем

(11)

В последнем выражении внутренняя сумма представляет собой сумму интервалов , взятых с соответствующим знаком. При этом длительности этих интервалов определяются потоком фронтов сигнала , которые соответствуют моментам времени из множества (6) при условии, что сигнал с учетом задержки t в это время остается постоянным.

Значения величин и зададим в целочисленном коде, то есть

(12)

где T0 - период следования тактовых импульсов.

В результате будем иметь:

и - цифровые эквиваленты значений моментов времени и ;

- задержка в целочисленном коде.

В соответствии с этим для (9) справедливо следующее

(13)

В свою очередь, целочисленные значения величин из множества (10) будут равны

(14)

Тогда если одну из величин A, B, Tp или T0 выбрать таким образом, чтобы при целом n выполнялось условие

(15)

то оценка взаимной корреляционной функции (11) примет вид

(16)

Внутренняя сумма в выражении (16) может быть частично просуммирована. В результате этого будем иметь

(17)

Алгоритмы (16) и (17) измерения взаимной корреляционной функции выгодно отличаются от классических знаковых алгоритмов, так как в данном случае обрабатываются не отдельные результаты знакового преобразования в моменты времени опроса, а целочисленные значения временных интервалов, определяемых моментами времени, в которые знаковые сигналы и меняет свой знак на противоположенный. Здесь осуществляется своего рода сжатие дискретных данных во времени, и информация, содержащаяся в знаковых сигналах и , используется полнее, что позволяет анализировать более короткие реализации случайных процессов при заданной статистической погрешности измерения.

Следует также отметить, что вся процедура вычисления взаимной корреляционной функции с помощью алгоритмов (16) и (17) сводится только к простейшим арифметическим операциям суммирования и вычитания целочисленных значений, которые просто реализуются на практике.

Методика измерения корреляционной функции Rxx(t ) случайного процесса аналогичен выше рассмотренной процедуре измерения взаимной корреляционной функции Rxy(t ) случайных процессов и Y(t). Отличие заключается лишь только в том, что знаковые сигналы и формируются в результате преобразования центрированной реализации только одного исследуемого случайный процесса при выполнении условия A=B.

Литература

  1. Макс Ж. Методы и техника обработки сигналов при физических измерениях: В 2-х томах. - М.: Мир, 1983. - Т. 1. 312 с.
  2. Мирский Г.Я. Характеристики стохастической взаимосвязи и их измерения. - М.: Энергоиздат, 1982. - 320 с.
  3. Якимов В.Н. Двухуровневое дискретное преобразование непрерывных случайных процессов // Сборник докладов Международной конференции по мягким вычислениям и измерениям. - Санкт-Петербург, 1999. - Т. 1. - С. 174-176.

Site of Information Technologies
Designed by  inftech@webservis.ru.